DNA条形码(DNA Barcoding)是利用标准基因片段对物种进行快速和准确鉴定的新技术。加拿大科学家Paul Hebert等于2003年提出这一概念后,DNA条形码已成为生物学领域发展最迅速的学科前沿之一。线粒体细胞色素C氧化酶基因CO1由于其引物通用性高、长度合适、进化速率较快、可以区分近缘物种等优点,已成为较为理想的动物DNA条形码。随后,Hebert等人发起了“国际生命条形码计划”,并提出了实施方案框架。

图1、不同条形码和条形码组合的物种分辨率比较

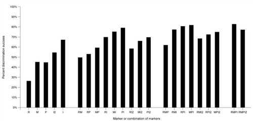
图2、不同条形码和条形码组合基于四种分析方法的物种分辨率比较
由于植物线粒体基因进化速率较慢,CO1基因不能用做植物DNA条形码。筛选有效的植物DNA条形码已成为国际生命条形码研究的首要任务之一。从2005年至今,美、英、韩等国多个研究组提出了若干个植物DNA条形码或条形码组合的动议。2009年8月,国际生命条形码联盟(CBOL)植物工作组推荐rbcL+matK组合作为陆生植物的DNA条形码,在同年11月被第三届国际生命条形码大会确定为核心条形码。由于该组合条形码尚存在研究样本量偏小和物种分辨率低等问题,大会建议trnH-psbA和ITS作为辅助条形码,并在2011年下半年前对相关条码进行进一步评价,以最终确定通用的植物DNA条形码。
作为对国际生命条形码联盟这一建议的回应,2009年8月起,在中国科学院大科学装置开放研究项目“依托种质资源库的植物DNA条形码研究”的支持下,中国科学院昆明植物研究所李德铢研究员联合全国19个科研院所和高校62名研究人员组成的“中国植物条形码研究团队(China Plant BOL Group)” ,深入开展了种子植物DNA条形码的研究。
研究团队根据对主要来自中国的种子植物75科141属1757种共约6286个样本(每个种至少2个样本)的四个DNA候选条形码片段(rbcL, matK, trnH-psbA和ITS)引物通用性、序列质量和物种分辩率等的综合分析,发现三个质体DNA候选条形码片段具有较高的通用性;核糖体核DNA候选条形码ITS在被子植物中的通用性较高,而在裸子植物中稍低。研究还发现,ITS具有最高的物种分辩率,与三个质体DNA条形码片段的任何一个组合均可分辨69.9-79.1%的物种,显著高于rbcL +matK条形码组合49.7%的分辨率。此外,ITS的部分序列ITS2也表现出较高的物种分辨率。
因此,研究团队建议将ITS作为种子植物的核心DNA条形码(rbcL+matK +ITS),同时强调了利用多个样本取样和不同遗传方式的DNA片段开展植物DNA条形码研究的重要性。该文于本月18日在线发表于美国《国家科学院院刊》。
继2009年由10个国家24个研究单位52名研究人员组成的 CBOL植物工作组对7个植物DNA候选条形码片段评价后,“中国植物条形码研究团队”的此项研究是组织规模最大、获得数据量最丰富和参加人员最多的一项。该文也是该研究团队2011年5月在“Journal of Systematics and Evolution”组织发表“中国植物DNA条形码研究”专辑后又一重要研究成果。
国际生命条形码联盟植物工作组主席Pete Hollingsworth教授应邀发表专题评论,对中国研究团队的工作给予了高度评价。他指出,研究团队通过大样本取样的比较分析,对ITS序列的优缺点进行了综合评估,对将ITS纳入植物条形码的常规运用提供了有说服力的研究案例。他强调,该文的发表代表了将DNA序列数据纳入植物物种水平分类和鉴定常规应用迈出的重要一步。

Comparative analysis of a large dataset indicates that internal transcribed spacer (ITS) should be incorporated into the core barcode for seed plants
China Plant BOL Group, De-Zhu Li, Lian-Ming Gao, Hong-Tao ,Lia Hong Wang, Xue-Jun Ge, Jian-Quan Liu, Zhi-Duan Chen, Shi-Liang Zhou, Shi-Lin Chen, Jun-Bo Yang, Cheng-Xin Fu, Chun-Xia Zeng, Hai-Fei Yan, Ying-Jie Zhu, Yong-Shuai Sun, Si-Yun Chen, Lei Zhao, Kun Wang, Tuo Yang, and Guang-Wen Duan
A two-marker combination of plastid rbcL and matK has previously been recommended as the core plant barcode, to be supplemented with additional markers such as plastid trnH–psbA and nuclear ribosomal internal transcribed spacer (ITS). To assess the effectiveness and universality of these barcode markers in seed plants, we sampled 6,286 individuals representing 1,757 species in 141 genera of 75 families (42 orders) by using four different methods of data analysis. These analyses indicate that (i) the three plastid markers showed high levels of universality (87.1–92.7%), whereas ITS performed relatively well (79%) in angiosperms but not so well in gymnosperms; (ii) in taxonomic groups for which direct sequencing of the marker is possible, ITS showed the highest discriminatory power of the four markers, and a combination of ITS and any plastid DNA marker was able to discriminate 69.9–79.1% of species, compared with only 49.7% with rbcL + matK; and (iii) where multiple individuals of a single species were tested, ascriptions based on ITS and plastid DNA barcodes were incongruent in some samples for 45.2% of the sampled genera (for genera with more than one species sampled). This finding highlights the importance of both sampling multiple individuals and using markers with different modes of inheritance. In cases where it is difficult to amplify and directly sequence ITS in its entirety, just using ITS2 is a useful backup because it is easier to amplify and sequence this subset of the marker. We therefore propose that ITS/ITS2 should be incorporated into the core barcode for seed plants.
文献链接:https://www.pnas.org/content/early/2011/11/17/1104551108

